2025年度の配当金
※※※最初の記事投稿日2020年12月31日※※※
※※※最新の記事投稿日2026年 3月25日※※※
インデックス投資では配当金は入ってきませんが、個別株、ETFからの配当金は毎月の楽しみです。
今後も減配さえなければ、今年と同じ配当金が入り続けるのでまさに不労所得ですね!!
ここで、まーさんの年ごとの考えを備忘録としてまとめておきます。
詳細は下記のページに残します。
2025年はインデックスの積立投資がメインで、関税ショックの時にインデックス投資を買い増ししただけで高配当株は触りませんでした。
2024年もインデックスの積立投資をメインとし、年末に米国の成長株、高配当株を一部売却し、SHV、TLTのような米国債を購入しました。
2023年もインデックスの積立投資をメインとし、高配当株はほとんど触りませんでした。
2022年はインデックスの積立投資をメインとしつつ、短期売買にもチャレンジして実りのある一年でした。
2021年はインデックスの積立投資、低配当の成長株の投資がメインとなりました。
2020年は高配当株と呼ばれる個別株をメインに投資を行いましたが、将来の数値目標を明確に掲げた結果、2021年以降はインデックス投資、低配当の成長株がよいのではと考えました。
2019年までは高配当株と呼ばれる個別株をメインに投資を行っていました。
インデックス投資では配当金は入ってこない予定ですが、個別株からの配当金は毎月の楽しみです。
今後も減配さえなければ、今年と同じ配当金が入り続けるのでまさに不労所得ですね!!
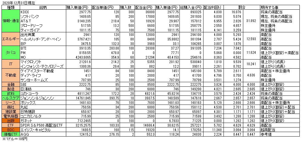
では、いままでの配当金はどれくらいだったのでしょうか??
2024年12月終了時点での結果は以下の通りです。

年間の配当金を以下に記載します。
2025年度:税引き後配当金は429103円
2024年度:税引き後配当金は413451円
2023年度:税引き後配当金は304192円
2022年度:税引き後配当金は352459円
2021年度:税引き後配当金は263726円
2020年度:税引き後配当金は188549円
2019年度:税引き後配当金は61633円
概ね順調に増えていますね。
個人的に配当金は再投資せずに使っています。
将来も大事だけど、今も大事です!!
<関連>将来も大事だけど今も大事??配当金ですり合わせる夫婦の価値観
配当金で食べる高いランチは本当に美味しいです(笑)
2025年12月31日までの考え方
2020年から色々と考えて投資を行っていますが、そのメモを残しておきます。
2020年:個別株は基本的に売らないという方針ですが、2020年12月にたばこ株のほんの一部を売却しました。
たばこ株は「不景気になってもタバコを吸う人は吸うっしょ」というような軽い気持ちで購入しました。
しかし、エネルギー株も「今後の世の中、オイル使うっしょ」というような軽い気持ちで買って痛い目を見ているので、たばこ株は利益が出ているうちに一部を売却しました。
2021年:債権ETFは僕には合わないので買わないという記事を書きましたがお試しで購入しました(笑)
債権は、「近いうち(3年後など)に確実に使うけど、余っているお金」に対して購入することが望ましいということが「敗者のルール」という本に書いてありました。
個人的にはネットバンクの金利0.1%が最適解なのでは…という結論を出しましたが、投資初心者の僕の考えよりもプロの考え方を聞いておく方が無難だろう…。
という理由で外国債権ETFで、ローリスクローリターンと言われている「AGG」をほんのちょっとだけ買ってみました。
購入して思ったのは、債権の値動きは少ないけれども為替の動きの方で損をするかもと思いました。
結局値下がりリスクがあるので、本当に使ってはいけないお金はネットバンクの金利0.1%が最適解だなと思いました。
とはいえ、値動きは株に比べれば安定しており悪い商品では無いと思いましたので、機会があればこの辺も今後記事にしてみたいと思います。
僕の出口はあくまで2035年なので、あくまで資産のメインは株と考えています。
自分のリスク許容度を把握して、資産をどの配分で持っているかが重要ですからね。
2022年:米国のリセッション懸念や、短期売買においてチャートを自分なりに読むようになった結果、しばらくは下落相場が続くと判断し、持っていた資産の一部を売り抜きました。
2023年はアメリカ相場よりも日本の相場の方が強そうだなと考えていますが、4割程度はアメリカの資産で持っていたいという考えがあるので債権ETFを以前よりも多目に持つことにしました。
今回債権ETFを持っているのは守りの観点からが強いです。
2024年は新NISAが始まりました。新NISA枠超長期投資ががメインですので、積立枠は楽天VTIを10万円/月に積立投資、成長枠は楽天VTIを年初に多めに購入しVYMやアップルのような銘柄を購入。
2023年から引き続き全米の全体が過熱感があると考え、米国の成長株、高配当株を一部売却し、SHV、TLTのような米国債を購入しました。
2025年はインデックスの積立投資がメインで、関税ショック時に追加で購入したのみです。
資産比率が株に偏り過ぎている自覚があり、買い増しを抑えることでリバランスをしたいのですがなかなか上手くいかないです。
そろそろ積み立ててきたインデックス投資を売却してリバランスも必要なのかもと思っています。
さてさて、これらの株が来年度も約30万円もの配当金を産んでくれることを期待しています。
配当金で食べる高いランチは本当に美味しい(2回目)



